| Biotin-PEG6-CH2CH2COOH | |
产品编号: |
B-1360 |
CAS No: |
1352814-10-8 |
| Biotin-PEG8-CH2CH2COOH | |
产品编号: |
B-1361 |
CAS No: |
2143964-62-7 |
| Biotin-PEG12-CH2CH2COOH | |
产品编号: |
b-1363 |
CAS No: |
1621423-14-0 |
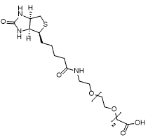
| Biotin-PEG2-CH2COOH | |
产品编号: |
B-1364 |
CAS No: |
1238575-77-3 |
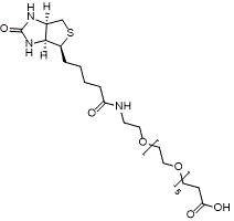
| Biotin-PEG3-CH2COOH | |
产品编号: |
b-1365 |
CAS No: |
1189560-96-0 |
| Biotin-PEG4-CH2COOH | |
产品编号: |
B-1366 |
CAS No: |
1119721-07-1 |
| Biotin-PEG6-CH2COOH | |
产品编号: |
b-1367 |
CAS No: |
1061653-60-8 |
| HOOCCH2O-PEG4-CH2CH2COOtBu | |
产品编号: |
B-1368 |
CAS No: |
2304558-22-1 |
| HOOCCH2O-PEG2-CH2COOtBu | |
产品编号: |
B-1369 |
CAS No: |
883564-93-0 |